|
Ньютон - украшение рода человеческого1. Как сэр Исаак Ньютон открыл второй закон?
Он открыл 3 закона механики плюс умопомрачительный закон всемирного тяготения. Мы начнём, как ни странно, со второго. Лежало себе неподвижно какое-то тело. Или не лежало, а двигалось не спеша. И тут по нему чем-нибудь долбанули! Неподвижное тело стало двигаться, а то, которое двигалось не спеша - помчалось быстрее. В любом случае ИЗМЕНИЛАСЬ СКОРОСТЬ ТЕЛА или, иначе говоря, ТЕЛО ПОЛУЧИЛО УСКОРЕНИЕ. Сила – конечно же вектор. На схемах и чертежах вектор силы принято изображать стрелкой, начинающейся прямо на том предмете (теле), на который она воздействует. Принято говорить «сила приложена к телу».
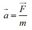
Математически зависимость ускорения от силы выражается такой формулой
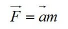
Собственно говоря, эту формулу и приведённое выше словесное пояснение к ней, и называют ВТОРЫМ ЗАКОНОМ НЬЮТОНА. Умножим правую и левую часть равенства на m, получим следующую форму записи второго закона Ньютона.
Эту формулу можно прочитать так: сила, действующая на тело массой m, придаёт ему ускорение а. Через эту формулу вводится единица измерения силы. Если под действием силы тело массой 1 кг получило ускорение 1 м/с2 - то величина этой силы – 1 Ньютон (Н). Как видите, память сэра Исаака увековечили не только прикольной надписью на надгробии, но и названием одной из важнейших единиц измерения. Нам по жизни этот закон очень даже пригодится. Для этого надо внятно усечь две, в сущности, простых мысли: 1. Если какое-то тело получило ускорение (стронулось с места или стало разгоняться) – то ищи: ОБЯЗАТЕЛЬНО ГДЕ-ТО ДОЛЖНА БЫТЬ ВОЗДЕЙСТВУЮЩАЯ СИЛА. Без силы ускорения не будет никогда! Камень ускоренно падает вниз – почему? На него действует сила тяжести, направленная как раз в ту же сторону, вниз к земле. Пуля вылетела из ружья, почему? На неё действует сила упругости пороховых газов. Трамвай тронулся с остановки, почему? На него действует сила тяги мотора.
Две (или больше, чем две) силы можно складывать по правилу сложения векторов. В результате получим так называемую РАВНОДЕЙСТВУЮЩУЮ СИЛУ. Тогда эта самая равнодействующая сила будет причиной ускорения. 2. Вторая мысль – обратная. Если на тело действует сила, мы знаем эту силу, видим её – то ОБЯЗАТЕЛЬНО ТЕЛО ДОЛЖНО ДВИГАТСЯ РАВНОУСКОРЕННО. Например, действует сила тяжести – тело просто обязано двигаться к земле, причём не как попало, а равноускоренно. Если оно на самом деле так не двигается – то чё? Второй закон Ньютона не работает? Да нет, просто мы где то не учли ещё какие-то силы. То ли сопротивление воздуха, то ли тело ниткой куда привязано. Убери действие всех прочих сил – и тело станет двигаться равноускоренно с ускорением свободного падения! 2. А о чём ТРЕТИЙ закон Ньютона?
то есть, эти силы равны по величине но направлены в противоположные стороны. Об этом говорит знак минус.
Вот везёт лошадка дровенки, а в дровнях мужичок. С какой силой лошадка действует на дровенки - с такой силой и дровенки действуют на лошадку. Третий закон Ньютона иногда формулируют так: ДЕЙСТВИЕ РАВНО ПРОТИВОДЕЙСТВИЮ. Третий закон мы часто наблюдаем в повседневной жизни. Висит грузик на ниточке. На него действует в обязательном порядке сила притяжения Земного шара (её в физике называют СИЛОЙ ТЯЖЕСТИ). Под действием этой силы грузик согласно второму закону Ньютона должен бы равноускоренно лететь вниз. Но нет, он висит себе! Потому, что в противоположную сторону действует точно такая же по модулю сила натяжения нити. Результирующая двух сил равна нулю, поэтому груз не двигается, а покоится. 3. А о чём всё-таки "гласит" ПЕРВЫЙ ЗАКОН НЬЮТОНА?
А если сила не действует? Или (что то же самое) действует несколько сил в таких направлениях, что их равнодействующая равна 0? Тогда получается F = 0 и ускорение a = 0/m = 0. Ускорение равно нулю! Это что значит? А) Или тело неподвижно Первый закон Ньютона формулируют так: Если равнодействующая всех сил, действующих на тело равна нулю, то тело движется равномерно и прямолинейно, либо покоится. Обычно, когда вникают в этот закон, все легко соглашаются, что без действия сил тело лежит неподвижно. А вот тот факт, что оно может двигаться равномерно и прямолинейно, вызывает сомнения. Как так? Без силы тяги поезд стоит. А когда электровоз включил моторы - тогда он и поедет.
Когда сила тяги больше силы сопротивления, результирующая направлена вперёд - поезд разгоняется. Когда сила тяги меньше силы сопротивления, результирующая направлена назад (например, поезд вступил на крутой подъем) - поезд замедляется. А когда сила тяги равна силе сопротивления - то он не разгоняется, не замедляется, а движется равномерно (с постоянной скоростью). 4. Отдадим должное Галилею
Отсюда напрашивается логический вывод: если плоскость не наклонная, а горизонтальная, то ускорение должно быть не положительное (как при спуске), не отрицательное (как при подъёме), а нулевое! То есть по горизонтальной плоскости тело должно катиться равномерно. Галилей не только был отцом экспериментальной физики (об этом мы уже говорили, когда рассказывали про бросание пушечного ядра и мушкетной пули с Пизанской башни). Но Галилей придумал ещё и так называемый "мысленный экспеимент". Когда мысленно исключаются такие условия опыта, которые невозможно устранить в действительности. Он исключал, в частности, трение и сопротивление воздуха при экспериментах по скатыванию шаров с наклонной плоскости.
При этом шар должен подняться на ту же самую высоту, с которой начал движение при скатывании. Если подъем происходит по более пологой плоскости - то отрицательное ускорение равнозамедленного движения вверх станет меньше по модулю, зато подъем будет длиться дольше. Из этого логически следует, что по горизонтальной площадке шар будет катиться с нулевым ускорением (равномерно) бесконечное время. Это была гениальная догадка Галилея. До него считалось что тела движутся тогда, когда их тянут. Повозка движется, потому что её тянет лошадь. Лошадь встала – и повозка остановилась. Только небесные тела (Солнце, Луна) движутся без видимых причин. Их движение объяснялось божественными силами. 5. Как Галилей мысленно плавал в трюме корабля Вот опыт, демонстрирующий корабль Галилея в миниатюре;струйка воды, льющаяся в колбу, описывает одинаковую траекторию относительно тележки - хоть тележка неподвижная, хоть движется.
Из этого рассказа мы выводим принцип относительности Галилея и понятие инерциальной системы отсчёта. Системы отсчета, относительно которых соблюдается закон инерции (первый закон Ньютона) называются инерциальными. Берег, от которого отплыл корабль Галилея – это инерциальная система отсчета. Корабль, плывущий равномерно, прямолинейно и без качки – это инерциальная система отсчета. Разгоняющийся троллейбус – это НЕ инерциальная система. Пассажиры в нём качнулись назад, лежавшая на полу бутылка тоже покатилась назад, сама по себе, никакая сила на неё не действовала.
Закон инерции в троллейбусе не выполняется. Тела, которым без действия сил полагается лежать неподвижно, вдруг получили ускорение. Хотя, когда троллейбус закончит разгон и станет двигаться равномерно и прямолинейно – всё встанет на свои места и он превратится в инерциальную систему отсчета. 6. Смотрим ЕГЭшные задания на эту тему
Решение. Эта задачка «в лоб», безо всяких хитростей, проверяет знание третьего закона Ньютона. С какою силой автомобиль действует на мост, с такою силой и мост действует на автомобиль. Если бы какая-то из этих сил была больше другой, то автомобиль либо ускоренно полетел бы вниз, либо вверх. Конечно же, правильный ответ № 1. Небольшая хитрость, впрочем, есть. Составители дали избыточную информацию – массу автомобиля. Может быть кого-то, неуверенно знающего третий закон Ньютона, она собьёт с толку. Пример 2 задания А2 (Взято из демоварианта 2013 года)
Решение. Опять – только третий закон Ньютона. Совершенно неважно, поднимает кран груз или опускает, или неподвижно держит. Поднимает с постоянным ускорением или без ускорения, равномерно. Важно только одно: с какой силой канат действует на груз – с такой же силой груз действует на канат. Правильный ответ № 1. Пример 3 задания А2 (Взято из пособия Грибова ЕГЭ-2014)
Решение. Задание проверяет уверенное знание первого закона Ньютона. Мы твёрдо знаем: тело движется равномерно (с постоянной скоростью), если сумма всех действующих на него сил равна нулю. Иное могло бы быть, если бы движение происходило в НЕ инерциальной системе отсчёта. Но в условии дана инерциальная. Правильный ответ № 1. Пример 4 задания А2 (Взято из пособия Грибова ЕГЭ-2014)
Решение. Первым шагом мы найдём сумму векторов, сложив их по правилу параллелограмма. Синенькой стрелочкой мы показали суммарный вектор.
А поскольку вектор ускорения направлен в ту же самую сторону, что и вектор силы (по второму закону Ньютона), то правильный ответ № 3. <<< Назад I Вперед >>> |


















