ЕГЭ МАТЕМАТИКА 2018
|
|
А
|
Б
|
В
|
Г
|
|
4
|
3
|
1
|
2
|
Ответ 4312
или
Установите соответствие между величинами и их возможными значениями: к каждому элементу первого столбца подберите соответствующий элемент из второго столбца.

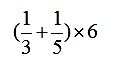
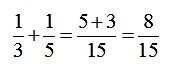
Решение. Здесь за основу взята масса 1 киллограмм, сколько это все представляют, все покупали в магазине кило чего-нибудь.
65 киллограмм - это масса человека. Не особо толстого, не слишком накачанного, среднего такого человека.
1 грамм в тысячу раз легче киллограмма. что тут в нашем списке самое лёгкое? Ага, пуговица, её масса 5 граммов. А книга имеет массу 300 граммов (если, конечно, это не "Война и мир" в двух томах и кожаном переплёте).
Тонна - это тысяча киллограммов. Ни один человек не в состоянии поднять тонну, только подъёмный кран! В нашем списке 8 тонн - это масса грузового автомобиля. Таблицу соответствия заполним так
|
А
|
Б
|
В
|
Г
|
|
3
|
1
|
4
|
2
|
Ответ 3142
Задание 10. В чемпионате по прыжкам в воду участвуют 35 спортсменов: 7 из России, 12 из Китая, 9 из Японии и 7 из США. Порядок, в котором выступают спортсмены, определяется жребием. Найдите вероятность того, что спортсмен, выступающий первым, окажется представителем России.
Решение. Задачка на элементарные понятия из теории вероятностей. А еще конкретней – на само понятие вероятности. Понятие таково. Делают некий ОПЫТ. Это термин такой в теории вероятностей. В нашей задачке опыт – вытягивание жребия. У этого опыта возможно сколько-то ИСХОДОВ. В нашей задачке – возможно 35 исходов. То есть, заготовили карточки с фамилиями всех 35 спортсменов и разложили их на столе "рубашкой вверх". СОБЫТИЕ (А), которого мы ожидаем, состоит в том, что первая вытянутая карточка будет содержать фамилию спортсмена, выступающего за Россию. Этому событию БЛАГОПРИЯТСТВУЮТ (приводят к нему) 7 из 35 исходов; наших спортсменов всего 7 и есть среди 35-ти всего 7 карточек с нашими фамилиями.
Вероятностью события А называется отношение числа m исходов, благоприятствующих событию А, к общему числу n исходов данного опыта.
P(A)= m/n
В нашем случае m = 7, n= 35, P(A) = 7/35 = 0,2
Ответ 0,2
или
Из каждых 100 лампочек, поступающих в магазин, в среднем 3 неисправных. Какова вероятность того, что случайно выбранная в магазине лампочка окажется исправной?
Решение. Опыт - взятие лампочки из партии 100 штук. Всего исходов n = 100 (случайным образом может попасться любая из ста лампочек). Событие А состоит в том, что первая наугад взятая лампочка исправна. Этому событию благоприятствуют m = 100 - 3 = 97 исходов. Таким образом, вероятность этого события
Р(А) = 97 / 100 = 0,97
Ответ 0,97
Задание 11. На диаграмме приведены данные о длине восьми крупнейших рек России (в тысячах километров). Первое место по протяженности занимает Лена. На каком месте по протяженности находится Амур?

Решение. Одиннадцатое задание предназначено для проверки твоего умения читать графики. Разного вида и формы. Вот столбики разной высоты изображают длину рек. Горизонтальные линейки позволяют чётко установить разницу в длине столбиков.
Итак, самая длиная река Лена, почти 4500 км, затем идут Иртыш, Обь, Волга, Енисей, Нижняя Тунгуска, Амур, Вилюй. Амур, получается, на 7 месте.
Ответ 7
или
В таблице показано распределение медалей на XXII Зимних Олимпийских играх в Сочи среди команд, занявших первые 10 мест по количеству золотых медалей. Сколько серебряных медалей у команды, занявшей второе место по числу золотых медалей?

Решение. Здесь задание совсем простецкое. На втором месте по числу золотых медалей Норвегия. Серебряных медалей у ней 5.
Ответ 5
или
На графике показано изменение температуры окружающего воздуха на протяжении трёх суток. На горизонтальной оси отмечается число, месяц, время суток в часах, на вертикальной оси значение температуры в градусах Цельсия. Определите по графику наибольшую температуру воздуха 19 февраля. Ответ дайте в градусах Цельсия

Решение. А теперь - умеешь ли ты читать такие графики? Не забываем, что минус 3 - это теплее, чем минус 15, это больше, чем минус 15.
19 февраля в 12:00 наибольшая температура была "-3".
Ответ -3
Задание 12. Для обслуживание международного семинара необходимо собрать группу переводчиков. Сведения о кандидатах представлены в таблице
| Переводчики | Языки | Стоимость услуг (руб. в день) |
| 1 | Немецкий, испанский | 7000 |
| 2 | Английский, немецкий | 6000 |
| 3 | Английский | 3000 |
| 4 | Английский, французский | 6000 |
| 5 | Французский | 2000 |
| 6 | Испанский | 4000 |
Пользуясь таблицей, соберите хотя бы одну группу, в которой переводчики вместе владеют четырьмя иностранными языками: английским, немецким, французским и испанским, а суммарная стоимость их услуг не превышает 12 000 рублей в день.В ответе укажите какой-нибудь один набор переводчиков без пробелов, запятых и других дополнительных символов.
Решение. «Математику уже затем учить надо, что она ум в порядок приводит» - говорил Ломоносов. Для решения подобных задачек не нужно никаких специальных знаний, только ясность ума и неторопливые рассуждения. Лучше для решения тоже использовать таблицу с перебором различных вариантов. Замутим табличку, в которой 2 столбца. В первом - запишем возможные сочетания номеров переводчиков, чтобы были представлены все 4 языка. Во втором - суммарная стоимость услуг.
| 1,4 | 7000 + 6000 = 13 000 |
| 2,5,6 | 6000 + 2000 + 4000 = 12 000 |
| 1,3,4 | 7000 + 3 000 + 6000 = 16 000 |
| 1,3,5 | 7 000 + 3 000 + 2 000 = 12 000 |
| 1,2,5 | 7 000 + 6 000 + 2 000 = 15 000 |
Видно, что условию удовлетворяют два варианта 256 и 135. Любой из них можно записать в ответ.
Ответ 256, 135
Если мы запишем не 256, а 562 или 526 - то это тоже будет верное решение.Так же, если вместо 135 запишем 153 или 315.
или
Турист подбирает себе экскурсии. Сведения об экскурсиях представлены в таблице.
| Экскурсии | Посещаемые объекты | Стоимость (рублей) |
| 1 | Крепость, загородный дворец | 350 |
| 2 | Музей живописи | 200 |
| 3 | Парк | 150 |
| 4 | Парк, музей живописи | 300 |
| 5 | Парк, крепость | 300 |
| 6 | Загородный дворец | 200 |
Пользуясь таблицей, подберите экскурсионный пакет так, чтобы турист посетил четыре объекта: крепость, загородный дворец, парк и музей живописи, а суммарная стоимость экскурсий не превышала бы 650 рублей.
В ответе укажите какой-нибудь один набор номеров экскурсий без пробелов, запятых и других дополнительных символов.
Решение. Верное решение
1 + 4 = 350 + 300 = 650 рублей
Другие возможные решения не укладываются в означенную сумму
1 + 2 + 3 = 350 +200 + 150 = 700 рублей
2 + 5 + 6 = 200 + 300 + 200 = 700 рублей
или
Строительная фирма планирует купить 70 м3 пеноблоков у одного из трёх поставщиков. Цены и условия доставки приведены в таблице. Сколько рублей нужно заплатить за самую дешёвую покупку с доставкой?
| Поставщик | Стоимость пеноблоков (руб за куб. м) |
Стоимость доставки (руб) |
Дополнительные условия поставки |
| А | 2 600 | 10 000 | Нет |
| Б | 2 800 | 8 000 | При заказе товара на сумму свыше 150 000 рублей доставка бесплатная |
| В | 2 700 | 8 000 | При заказе товара на сумму свыше 200 000 рублей жоставка бесплатная |
Решение. Эта задача на выбор оптимального варианта. Надо просто-напросто перебрать все варианты и выбрать лучший. Перебор тоже удобней делать в форме таблицы (хотя вовсе необязательно, можно и без таблицы)
| Поставщик | Стоимость 70 кубометров пеноблоков |
Плюс доставка | Минус бесплатная доставка, то есть окончательная стоимость покупки |
| А | 2600 х 70 = 182 000 | 182 000 + 10 000 = 192 000 | 192 000 - 0 = 192 000 |
| Б | 2800 х 70 = 196 000 | 196 000 + 8 000 = 204 000 | 204 000 - 8 000 = 196 000 |
| В | 2700 х 70 = 189 000 | 189 000 + 8 000 = 197 000 | 197 000 - 0 = 197 000 |
Как видно, самый дешёвый вариант покупки у поставщика А, он составдяет 192 000 рублей, это число и следует записать в ответ.
Ответ 192 000
Извините, рекламная вставка. Если кликнешь по картинке - нашему сайту капнет копеечка...
Задание 13. Вода в сосуде цилиндрической формы находится на уровне h =80 см. На каком уровне окажется вода, если её перелить в другой цилиндрический сосуд, у которого радиус основания в 4 раза больше, чем у данного Ответ дайте в сантиметрах.

Решение. Объём цилиндра равен площади основания, умноженной на высоту. А площадь круглого основания равна "пи эр квадрат". Если кто эти вещи не помнит - они как справочный материал написаны прямо в бланке ЕГЭ перед заданиями.
Итак, давайте запишем объёмы первого и второго цилиндров в буквенном виде (точнее говоря, не объём сосудов, а объём воды в сосудах).

И поскольку в первом и втором сосуде та же самая вода (V1=V2), приравняем правые части этих формул
![]()
А дальше, во-первых для простоты сократим на "пи", а во-вторых вместе r2 запишем согласно условию 4r1

Ответ 5
или
От деревянного кубика отпилили все его вершины (смотри рисунок). Сколько граней у получившегося многогранника (невидимые рёбра не изображены)?

Решение. У кубика было 6 граней: вехняя, нижняя и 4 боковых. Теперь прибавилось 4 треугольных грани на верхних уголках, и 4 на нижних, всего 8. 8 + 6 = 14
Ответ 14
Задание 14. На графике показано изменение температуры в процессе разогрева двигателя легкового автомобиля. На горизонтальной оси отмечено время в минутах, прошедшее с момента запуска двигателя, на вертикальной оси — температура двигателя в градусах Цельсия.

Пользуясь графиком, поставьте в соответствие каждому интервалу времени характеристику процесса разогрева двигателя на этом интервале.

В таблице под каждой буквой, соответствующей интервалу времени, укажите номер характеристики процесса.
Решение. И опять проверяется умение читать графики. В интервале 0 -1 минуты температура не превышала 30 градусов, это очевидно безо всяких рассуждений. Падала температура в интервале от 8 до 10 минут, потому что линия графика идёт сверху вниз. Где же температура росла быстрее - от 1 до 3 или от 3 до 6? От 1 до 3 минут температура выросла с 30 до 40 градусов за две минуты. То есть росла со скоростью 5 градусов в минуту. А от 3 до 6 выросла от 40 до 75 градусов за 3 минуты, то есть со скоростью более 10 градусов в минуту. Значит, самый медленный рост был на участке 1-3 минуты. А на участке 3-6 минут температура находилась в пределах 40 - 80 градусов. Получается вот что:
|
А
|
Б
|
В
|
Г
|
|
4
|
1
|
3
|
2
|
Ответ 4132
или
На рисунке изображёны график функции y = f (x) и касательные к нему, проведенные в точках с абсциссами A,B,C и D.

В первом столбце указаны значения производной функции в точках A,B,C и D. Пользуясь графиком, поставьте в соответствие каждой точке значение производной функции в ней.

Решение. Для решения этой задачки надо понимать геометрический смысл производной. Производная равна тангенсу угла наклона касательной к оси ОХ. Если касательная идёт вверх - призводная имеет знак "плюс"; если касательная идёт вниз - производная имеет знак "минус". Если касательная параллельна оси ОХ - производная равна нулю.
Таим образом, в точках A и D производная положительна, в точках B и C отрицательна. Чем круче касательная идёт вверх или вниз - тем больше числовое значение производной. Проанализируем с этих позиций картинку и заполним таблицу
|
A
|
B
|
C
|
D
|
|
2
|
1
|
4
|
3
|
Ответ 2143
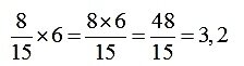
Задание 15. В треугольнике АВС угол АСВ равен 90 градусов, cos A = 0,8, АС = 4. Отрезок СН - высота треугольника АВС (смотри рисунок). Найдите длину отрезка АН.

Каждый знает, что косинус - это отношение прилежащего катета к гипотенузе. cos А = АН / АС. Отсюда АН = АС х cos A = 4 х 0,8 = 3,2
Ответ 3,2
Задание 16. Радиус основания цилиндра равен 13, а его образующая равна 18. Сечение, параллельное оси цилиндра, удалено от неё на расстояние, равное 12. Найдите площадь этого сечения.

Решение. Площадь сечения, которое имеет форму прямоугольника, равна произведению его сторон. Одна сторона известна - это образующая цилиндра 18. А как найти другую сторону?
Поглядим на цилиндр сверху, так, чтобы рассмотреть его основание. Или снизу, всё равно.

CD - это таа самая искомая стороны прямоугольника, которой нам не хватает. В круге это хорда. Радиус АС (AD) известен, он равен 13. АВ известна - равна 12. Тогда по теореме Пифагора

CD в два раз больше CB, равна 10.
А площадь сечения 18 х 10 = 180
или
Найдите объём правильной четырёхугольной пирамиды, сторона основания которой равна 4,
а боковое ребро ![]()

Решение. Объём пирамиды равен 1/3 площади основания, умноженной на высоту. Эта формула приведена в качестве справочного материала в начале бланка-задания ЕГЭ.
Пирамида правильная - означает, что в четырёхугольнике ABCD все стороны и углы равны, то есть это квадрат. И при этом дана сторона квадрата, равна 4. Площадь основания, таким образом, 4 х 4 = 16
Осталось найти высоту MH. Рассмотрим треугольник AMH.

Боковое ребро АМ дано, АН можно найти, как половину диагонали АС квадрата, лежащего в основании. А диагональ - по теореме Пифагора

Теперь из треугольника АМН по теореме Пифагора найдём МН

И, наконец, объём пирамиды V = 1/3 (16 х 3) = 16
Ответ 16
Задание 17. На координатной прямой отмечены точки A,B,C,D

Каждой точке соответствует одно из чисел в правом столбце. Установите соответствие между указанными точками и числами.

Решение. Картинка в условии задачи - это координатная ось. Точка на ней соответсвует какому-нибудь числу. Например, точка А это число больше единицы, но меньше двух; точка В - это 2 с чем-то, и так далее.
А в правом столбике числа, не неявно записанные. Надо сначала сообразить, что это за число, то есть выполнить указанные математические действия.
Логарифм по основанию 2 от десятки - что это за число? Помнишь, мы рассмаривали логарифмы в задаче 7? (Прокрути страницу вверх) Логарифм от 8 равен 3, логарифм от 16 равен 4. Значит, логарифм от 10 где-то между 3 и 4, соответствует точке С.
Число 7/3 - неправильная дробь, если её перевести в смешанную дробь будет 2 целых и 1/3. Соответствует точке В.
Число корень квадратный из 26. Корень из 25 равен 5. А это чуть-чуть побольше. Соответствует точке D.
Наконец 3/5 в минус первой степени. Минус первая степень представляется, как дробь, где в числителе 1, а в знаменателе это самое число (переворачивает дробь вверх ногами). То есть 1/3/5 = 5/3 = 1 целая и 2/3. Соответствует точке А.
|
A
|
B
|
C
|
D
|
|
4
|
2
|
1
|
3
|
Ответ 4213
или
Каждому из четырёх неравенств в левом столбце соответствует одно из решений в правом столбце.Установите соответствие между неравенствами и их решениями.

Решение.

А) Два в квадрате = 4. А если 2 в степени большей, чеи квадрат - то результат явно больший чем 4. Это наглядно видно по графику показательной функции.Поэтому первому неравенству сооответствует решение 4 - икс равен 2 или больше, до плюс бесконечности.
Г) Соответственно, неравенству Г отвечает решение 1 - икс равен 2 или меньше двойки до минус бесконечности.
Б) При основании степени меньше единицы ( в частности, в нашем примере 1/2) график показательной функции направлен иначе. Теперь функция будет равна 4 при икс равен (-2) и больше 4 при икс меньше (-2). То сеть неравенству Б) будет соответствовать решение 3.
В) И наконец неравенству В) будет соответствовать решение 2.
|
А
|
Б
|
В
|
Г
|
|
4
|
3
|
2
|
1
|
Ответ 4321
Задание 18. В классе учится 20 человек, из них 13 человек посещают кружок по истории, а 10 — кружок по математике. Выберите утверждения, которые верны при указанных условиях.
1) Каждый ученик этого класса посещает оба кружка.
2) Найдутся хотя бы двое из этого класса, кто посещает оба кружка.
3) Если ученик из этого класса ходит на кружок по истории, то он обязательно ходит на кружок по математике.
4) Не найдётся 11 человек из этого класса, которые посещают оба кружка.
В ответе запишите номера выбранных утверждений без пробелов, запятых и других дополнительных символов.
Решение. Задание просто на размышление, на умение делать логические умозаключения из приведённых данных.
1) Неверно, оба кружка могут посещать все 13 историков, но это не все ученики класса;
2) Верно, всего участников кружков 23 человека, а учеников в классе 20. Отсюда следует, что 3 человека должны посещать оба кружка.
3) Вовсе нет!
4) Верно,потому что кружок по математике посещают только 10 человек, поэтому максимум 10 человек могут посещать оба кружка, а уж 11 никак не найдётся!
Ответ: 24 (если напишешь 42 тоже будет правильный ответ)
или
Витя выше Коли, но ниже Маши. Аня не выше Вити. Выберите утверждения, которые верны при указанных условиях.
1) Маша самая высокая из указанных четырёх человек.
2) Аня и Маша одного роста.
3) Витя и Коля одного роста.
4) Коля ниже Маши.
В ответе укажите номера выбранных утверждений без пробелов, запятых и других дополнительных символов.
Решение. Чтобы составить более ясную картинку, составим табличку с именами этих четверых ребят
| Витя выше | Коля выше | Маша выше | Аня выше |
| Коли, Ани | Вити |
Что же следует?
1) Да, Маша самая высокая, она выше Вити, а Витя выше Ани ит Коли.
2) Ну уж нет, Маша выше Коли, а Аня ниже!
3) Нет, прямо указано,что Витя выше Коли.
4) Да, это так, поскольку Коля ниже Вити, а Витя, в свою очередь, ниже Маши.
Ответ: 14 (или можно записать в ответ 41)
Задание 19. Найдите трёхзначноео число, сумма цифр которого равна 20, а сумма квадратов цифр делится на 3, но не делится на 9. В ответе укажите какое-нибудь одно такое число.
Решение. Эту задачу можно решить с математическими выкладками, но учитывая, что вариант всё-таки базовый, для тех людей, кому математика не особенно нужна, будем решать её тупым методом подбора.Итак, надо найти трёхзначное число, к примеру 157. Число это должно быть таким, чтобы сумма его цифр равнялась 20. Проверим 157. 1+5+7=13. Нет, число 157 не подходит даже под первое условие.
Давайте подбирать. Элементы нашего конструктора – это числа 0,1,2,3,4,5,6,7,8,9.
0 не может быть, потому что из оставшихся двух цифр не получишь 20.
1 тоже не может быть, из оставшихся двух цифр не получишь 19. Из других цифр можно составить такие наборы:
1) 2 + 9 + 9
2) 3 + 9 + 8
3) 4 + 9 + 7
4) 4 + 8 + 8
5) 5 + 9 + 6
6) 5 + 8 + 7.
Это всё, других способов представления числа 20 нет. Вот эти 6 наборов соответствуют первому условию.
Теперь надо проверить второе условие: сумма квадратов делится на 3. Здесь есть такое правило «признак делимости на 3» - число делится на 3, если сумма его цифр делится на 3. Например, число 126 делится на 3, потому что 1+2+6=9 делится на 3. Найдём сумму квадратов и проверим её делимость на 3
1) 4+81+81=166 1+6+6 =13 не делится на 3
2) 9+81+64=154 1+5+4=10 не делится на 3
3) 16+81+49=146 1+4+6=11 не делится на 3
4) 16+64+64=144 1+4+4=9 делится на 3
5) 25+81+36=142 1+4+2=7 не делится на 3
6) 25+64+49=138 1+3+8=12 делится на 3
Второму условию удовлетворяют два двузначных числа
4) 488 и 6) 587
Проверим третье условие – делится ли сумма квадратов на 9 4) 144 / 9 = 16 делится
6) 138 / 9 = не делится (в целых числах)
Таким образом, всем трём условиям удовлетворяет только число 587.
Ответ 587
Если вы напишите 857 или 785 это тоже будет правильно, поэтому в задании и требуется указать какое-нибудь одно такое число
Задание 20. В обменном пункте можно совершить одну из двух операций:
- за 2 золотых монеты получить 3 серебряных и одну медную;
- за 5 серебряных монет получить 3 золотых и одну медную.
У Николая были только серебряные монеты. После нескольких посещений обменного пункта серебряных монет у него стало меньше, золотых не появилось, зато появилось 50 медных. На сколько уменьшилось количество серебряных монет у Николая?
Решение.
- За 10 серебряных монет (два похода в обменный пункт) Николай получит 6 золотых и 2 медных. Затем 6 золотых он сможет обменять на 9 серебряных и 3 медных.
В итоге получается, что серебряных монет у него вместо 10 стало 9, то есть число серебряных монет уменьшилось на одну. Зато в результате этих двух обменов Николай получит 2 + 3 = 5 медных монет. Таким образом, чтобы появилось 5 медных монет, число серебряных уменьшится на 1.
- Чтобы получилось, согласно условию, 50 медных монет число серебряных должно уменьшится на 50 : 5 = 10
Ответ 10
или
Прямоугольник разбит на четыре меньших прямоугольника двумя прямолинейными разрезами. Периметры трёх из них, начиная с левого верхнего и далее по часовой стрелке, равны 24, 28 и 16. Найдите периметр четвёртого прямоугольника.

Решение. Для удобства дадим название каждой стороне прямоугольника (см. рисунок).

И распишем, чему равен периметр каждого маленького прямоугольника по часовой стрелке:
P1 = 2a + 2c = 24
P2 = 2b + 2c = 28
P3 = 2b + 2d = 16
P4 = 2a + 2d = ?
Выразим стороны a и d из первого и третьего периметра и подставим их в периметр четвертого прямоугольника:
2a = 24 – 2c
2d = 16 – 2b
P4 = 24 – 2c + 16 – 2b
Мы также можем выразить сторону b через второй периметр, чтобы периметр четвертого прямоугольника был выражен только через одну сторону:
2b = 28 – 2c
P4 = 24 – 2c + 16 – (28 – 2c) = 24 – 2c + 16 – 28 + 2c = 24 + 16 – 28 = 12
В результате все неизвестные сократились и был найден периметр четверного прямоугольника, равный 12.
Ответ 12






























